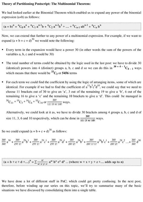
你提供的照片可能用于改善必应图片处理服务。
隐私政策
|
使用条款
无法使用此链接。检查链接是否以 "http://" 或 "https://" 开头,然后重试。
无法处理此搜索。请尝试其他图像或关键字。
试用视觉搜索
使用图像搜索、识别对象和文本、翻译或解决问题
将一个或多个图像拖到此处,
上传图像
或
打开相机
将图像放到此处以开始搜索
要使用可视化搜索,请在浏览器中启用相机
English
全部
搜索
图片
灵感
创建
集合
视频
地图
资讯
更多
购物
航班
旅游
笔记本
自动播放所有 GIF
在这里更改自动播放及其他图像设置
自动播放所有 GIF
拨动开关以打开
自动播放 GIF
图片尺寸
全部
小
中
大
特大
至少... *
自定义宽度
x
自定义高度
像素
请为宽度和高度输入一个数字
颜色
全部
仅限颜色
黑白
类型
全部
照片
剪贴画
素描
动画 GIF
透明
版式
全部
方形
横版
高
人物
全部
仅脸部
半身像
日期
全部
过去 24 小时
过去一周
过去一个月
去年
授权
全部
所有创作共用
公共领域
免费分享和使用
在商业上免费分享和使用
免费修改、分享和使用
在商业上免费修改、分享和使用
详细了解
清除筛选条件
安全搜索:
中等
严格
中等(默认)
关闭
筛选器
768×1024
scribd.com
Multinomial Theorem | PDF …
768×1024
scribd.com
Multinomial Theorem | PDF …
768×1024
scribd.com
Multinomial Theorem-1 | PD…
768×1024
scribd.com
35 The Multinomial The…
768×1024
Scribd
Multinomial Theorem - Brilli…
700×100
Britannica
Multinomial theorem | Polynomials, Binomials, Expansions | Britannica
645×66
aplustopper.com
What is the Multinomial Theorem? - A Plus Topper
768×1024
scribd.com
Multinomial Theorem | PDF
400×67
tpointtech.com
Multinomial Theorem - Tpoint Tech
867×318
embibe.com
Multinomial Theorem: Definition, Concepts & Solved Examples - Embibe
1620×2291
studypool.com
SOLUTION: Multinomial theo…
1095×538
Stack Exchange
Proof of multinomial theorem. - Mathematics Stack Exchange
1620×2289
studypool.com
SOLUTION: Multinomial theo…
1024×700
Chegg
Solved Using the multinomial theorem as in Equation (3.15): | Chegg.com
768×1086
cat100percentile.com
The Multinomial Theorem – CA…
851×216
solutioninn.com
[SOLVED] Use the multinomial theorem to expand (a + 2b + 3c). | SolutionInn
222×53
trans4mind.com
Multinomial Theorem
666×71
trans4mind.com
Multinomial Theorem
695×72
trans4mind.com
Multinomial Theorem
474×55
trans4mind.com
Multinomial Theorem
298×57
trans4mind.com
Multinomial Theorem
438×47
trans4mind.com
Multinomial Theorem
1024×450
numerade.com
Use the multinomial theorem to expand (x1+x2+x3)^4 . | Numerade
414×60
chegg.com
Solved Problem 7. Use the multinomial theorem to expand | Chegg.com
1709×355
chegg.com
Solved 17. Use the multinomial theorem to expand | Chegg.com
1172×104
chegg.com
Solved 12. Use the multinomial theorem to expand (x1 + x2 + | Chegg.com
700×178
chegg.com
Solved hidde Use the multinomial theorem to expand the | Chegg.com
850×1100
researchgate.net
(PDF) Novel Multinomial Ex…
1470×80
chegg.com
Solved Problem 3. Use the multinomial theorem to expand | Chegg.com
837×121
Chegg
Solved Use the multinomial theorem to expand (x + y - z)^4. | Chegg.com
1024×390
askfilo.com
Expand using binomial theorem : | Filo
700×543
chegg.com
Solved 2. expand using the binomial theorem: (x + 1…
909×139
chegg.com
Solved b) Use multinomial theorem to expand (x1+x2+x1+x4)∘. | Chegg.com
3004×877
chegg.com
Solved 5. Use the multinomial theorem to | Chegg.com
1720×318
chegg.com
Solved (5) (a) Write the multinomial theorem. (b) Calculate | Chegg.com
某些结果已被隐藏,因为你可能无法访问这些结果。
显示无法访问的结果
报告不当内容
请选择下列任一选项。
无关
低俗内容
成人
儿童性侵犯
反馈