你提供的照片可能用于改善必应图片处理服务。
隐私政策
|
使用条款
无法使用此链接。检查链接是否以 "http://" 或 "https://" 开头,然后重试。
无法处理此搜索。请尝试其他图像或关键字。
试用视觉搜索
使用图像搜索、识别对象和文本、翻译或解决问题
将一个或多个图像拖到此处,
上传图像
或
打开相机
将图像放到此处以开始搜索
要使用可视化搜索,请在浏览器中启用相机
English
全部
搜索
图片
灵感
创建
集合
视频
地图
资讯
更多
购物
航班
旅游
笔记本
Hash Tree 的热门建议
Merkle
Tree
Hash
Table Diagram
Hash Tree
Example
HashMap
Tree
Hashish
Tree
Hashish
Plant
Tall
Tree Hash
Hash
Note
Hash-
Based
Tree
vs Hash
Merkle
Root
Hash
Chain
What Is a Merkle
Tree
Linear Probing
Hash Table
Hash
Leaf
Contoh
Tree
Hash
Plant Seeds
Hash
Plant Strain
Palm
Tree Hash
Hash
Structure
Leaf
Node
Example of
Hashing
Hash Tree
Co Sky View
Example of
Hash Function
Kind Tree Hash
Nectar
Tree
Sap Darts Hash
Spruce Trees
Varieties
Ancestor and Descendant in
Tree
Charas
Hash
Hashed Array
Tree
Mexican Avocado
Tree
Reverse Merkel
Hash Tree
Picea
Pungens
Has
Tree
Merke
Tree
Merkle Tree Hash
Signature Illustration
HashMap Family
Tree
Cuckoo
Hash
Binary Tree and Hash
Table Imag
Tree
That Grows in a Hash Enviorment
Merkle Signature
Scheme
Hash
Cluster
Hax for
Tree
Color Family for a
Tree in Hash
Emitetion Bash
Tree
Blue Hash
Plant Strain
Leaves in Merkle
Tree
Merkle
Puzzles
Shubash
Tree
Montana
Merkle
对 Hash Tree 感兴趣的人还搜索了
Hash
Table
Tiger
Trie
B-tree
Radix
Tree
Metric
Tree
Fusion
Tree
Range
Tree
Segment
Tree
Finger
Tree
Interval
Tree
Octree
Quadtree
Cover
Tree
M-Tree
Kd-Tree
Hash
Function
Dancing
Tree
Suffix
Tree
Binary Space
Partitioning
自动播放所有 GIF
在这里更改自动播放及其他图像设置
自动播放所有 GIF
拨动开关以打开
自动播放 GIF
图片尺寸
全部
小
中
大
特大
至少... *
自定义宽度
x
自定义高度
像素
请为宽度和高度输入一个数字
颜色
全部
仅限颜色
黑白
类型
全部
照片
剪贴画
素描
动画 GIF
透明
版式
全部
方形
横版
高
人物
全部
仅脸部
半身像
日期
全部
过去 24 小时
过去一周
过去一个月
去年
授权
全部
所有创作共用
公共领域
免费分享和使用
在商业上免费分享和使用
免费修改、分享和使用
在商业上免费修改、分享和使用
详细了解
清除筛选条件
安全搜索:
中等
严格
中等(默认)
关闭
筛选器
Merkle
Tree
Hash
Table Diagram
Hash Tree
Example
HashMap
Tree
Hashish
Tree
Hashish
Plant
Tall
Tree Hash
Hash
Note
Hash-
Based
Tree
vs Hash
Merkle
Root
Hash
Chain
What Is a Merkle
Tree
Linear Probing
Hash Table
Hash
Leaf
Contoh
Tree
Hash
Plant Seeds
Hash
Plant Strain
Palm
Tree Hash
Hash
Structure
Leaf
Node
Example of
Hashing
Hash Tree
Co Sky View
Example of
Hash Function
Kind Tree Hash
Nectar
Tree
Sap Darts Hash
Spruce Trees
Varieties
Ancestor and Descendant in
Tree
Charas
Hash
Hashed Array
Tree
Mexican Avocado
Tree
Reverse Merkel
Hash Tree
Picea
Pungens
Has
Tree
Merke
Tree
Merkle Tree Hash
Signature Illustration
HashMap Family
Tree
Cuckoo
Hash
Binary Tree and Hash
Table Imag
Tree
That Grows in a Hash Enviorment
Merkle Signature
Scheme
Hash
Cluster
Hax for
Tree
Color Family for a
Tree in Hash
Emitetion Bash
Tree
Blue Hash
Plant Strain
Leaves in Merkle
Tree
Merkle
Puzzles
Shubash
Tree
Montana
Merkle
2000×3007
pexels.com
Hash Tree Photos, Downlo…
834×484
myscale.com
B-Tree索引 vs. Hash索引 vs. 图索引:哪种适合您的数据库
2560×1629
en.wikipedia.org
File:Hash Tree.svg - Wikipedia
1500×1150
justcannabis.cc
Buy Tree Hash Online + Free Joint | Online Dispensary Canada
1024×1024
greenordersite.com
Pakistan Healing Tree Hash | Hash & Concentra…
850×570
researchgate.net
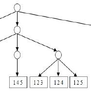
Hash Tree Based on a 5-ary Tree | Download Scientific Diagram
640×360
slideshare.net
Hash Tree | PPT
320×180
slideshare.net
Hash Tree | PPT
267×475
researchgate.net
, Verification of Hash-Tree Cer…
850×479
researchgate.net
Cryptographic hash tree [17]. | Download Scientific Diagram
446×231
researchgate.net
Sample Binary Hash Tree | Download Scientific Diagram
960×720
ignatiushansenlinkedlist.blogspot.com
Data Structure: Hash Table, Tree, & Binary Tree
对
Hash Tree
感兴趣的人还搜索了
Hash Table
Tiger
Trie
B-tree
Radix Tree
Metric Tree
Fusion Tree
Range Tree
Segment Tree
Finger Tree
Interval Tree
Octree
1528×714
Stack Overflow
data mining - Reading a 3-candidate hash tree structure - Stack Overflow
850×407
ResearchGate
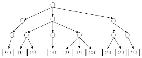
Hash tree based on a perfect 5-ary tree. | Download Scientific Diagram
256×256
researchgate.net
Schematic diagram on hash tree construction. …
320×320
ResearchGate
Hash tree based on a perfect 5-ary tree. | Do…
520×250
researchgate.net
Our modified Hash Tree Structure. | Download Scientific Diagram
250×250
researchgate.net
Our modified Hash Tree Structure. | D…
538×538
researchgate.net
An Example of Merkle Tree (Binar…
800×566
hibikequantum.github.io
Graph, Tree, Hash Tables, Binary Tree (B-Tree) | Hibike…
800×545
hibikequantum.github.io
Graph, Tree, Hash Tables, Binary Tree (B-Tree) | Hibike! …
850×234
researchgate.net
Hash Tree structure for 16-core parallel processing | Download Scientific Diagram
320×320
researchgate.net
Hash Tree structure for 16-core parallel proces…
230×230
researchgate.net
Sample binary tiger hash tree structure | …
300×279
jobilize.com
8.4. hash tree, Hashing, By OpenStax (Page 10/13) | …
320×320
researchgate.net
The hash tree of a file directory | Download S…
499×370
ResearchGate
A binary hash tree with 16 leaves. Nodes | Download S…
320×320
ResearchGate
7: Hashing a transaction at the ro…
512×575
researchgate.net
A binary hash tree with 8 leaves. Th…
187×187
ResearchGate
a): A Hash Tree with 10 candida…
195×195
ResearchGate
a): A Hash Tree with 10 candida…
451×187
ResearchGate
a): A Hash Tree with 10 candidates | Download Scientific Diagram
1024×1024
medium.com
Content-Dependent Hash Tree. In our early discussion, we highligh…
1024×512
blogspot.com
resume: Hashing and Hash Table, Trees & Binary Tree
470×237
researchgate.net
A binary hash tree with 8 leaves (red shaded) and internal nodes... | Download Scientific Diagram
某些结果已被隐藏,因为你可能无法访问这些结果。
显示无法访问的结果
报告不当内容
请选择下列任一选项。
无关
低俗内容
成人
儿童性侵犯
反馈