你提供的照片可能用于改善必应图片处理服务。
隐私政策
|
使用条款
无法使用此链接。检查链接是否以 "http://" 或 "https://" 开头,然后重试。
无法处理此搜索。请尝试其他图像或关键字。
试用视觉搜索
使用图像搜索、识别对象和文本、翻译或解决问题
将一个或多个图像拖到此处,
上传图像
或
打开相机
将图像放到此处以开始搜索
要使用可视化搜索,请在浏览器中启用相机
English
全部
搜索
图片
灵感
创建
集合
视频
地图
资讯
更多
购物
航班
旅游
笔记本
Open Subset 的热门建议
Closed
Subset
Metric
Space
Half Open
Interval
What Is an Open Interval
Closed
Set
Open
vs Closed Interval
Open Subset
Symbol
Subset
Topology
Union
Subset
Subset
Venn Diagram
Dense
Subset
Set and
Subset Symbols
Open
and Closed Sets
Open
and Closed Intervals
Connected
Spaces
Proper
Subset
A Union
B
Definition of
Open Sets
Closed Set
Example
Subset
Circle S
Open
and Closed Sets Examples
Compact Open
Topology
Open
Ball
Open
Relativity of Subsets
Closed Set
Number
Proving a
Subset
Mutually
Disjoint
Closure of a Set
in Metric Space
Set Operations and
Venn Diagrams
Simplicial
Complex
Compact
Set
Open
Interval Subset
Closed Vs.
Open Subset
Subset
Symbol
Disjoint Open
Intervals
ISR a Closed
Set
Intervals as Subsets
of R
Topology Open
Set
Difference Between Closed and
Open Intervals
Open
Ball in Maths
Prove That the Union of Two
Open Sets Is Open
Half Open
Interval Is Open or Closed
Open
Ball in Metric Space
Open Subset
of Complex Plane
Definition of
Open Ball
Open
Vs. Closed Set
Connected
Subset
Path
Connected
Closed Set in
Metric Space
Open
Sets Illustration
自动播放所有 GIF
在这里更改自动播放及其他图像设置
自动播放所有 GIF
拨动开关以打开
自动播放 GIF
图片尺寸
全部
小
中
大
特大
至少... *
自定义宽度
x
自定义高度
像素
请为宽度和高度输入一个数字
颜色
全部
仅限颜色
黑白
类型
全部
照片
剪贴画
素描
动画 GIF
透明
版式
全部
方形
横版
高
人物
全部
仅脸部
半身像
日期
全部
过去 24 小时
过去一周
过去一个月
去年
授权
全部
所有创作共用
公共领域
免费分享和使用
在商业上免费分享和使用
免费修改、分享和使用
在商业上免费修改、分享和使用
详细了解
清除筛选条件
安全搜索:
中等
严格
中等(默认)
关闭
筛选器
Closed
Subset
Metric
Space
Half Open
Interval
What Is an Open Interval
Closed
Set
Open
vs Closed Interval
Open Subset
Symbol
Subset
Topology
Union
Subset
Subset
Venn Diagram
Dense
Subset
Set and
Subset Symbols
Open
and Closed Sets
Open
and Closed Intervals
Connected
Spaces
Proper
Subset
A Union
B
Definition of
Open Sets
Closed Set
Example
Subset
Circle S
Open
and Closed Sets Examples
Compact Open
Topology
Open
Ball
Open
Relativity of Subsets
Closed Set
Number
Proving a
Subset
Mutually
Disjoint
Closure of a Set
in Metric Space
Set Operations and
Venn Diagrams
Simplicial
Complex
Compact
Set
Open
Interval Subset
Closed Vs.
Open Subset
Subset
Symbol
Disjoint Open
Intervals
ISR a Closed
Set
Intervals as Subsets
of R
Topology Open
Set
Difference Between Closed and
Open Intervals
Open
Ball in Maths
Prove That the Union of Two
Open Sets Is Open
Half Open
Interval Is Open or Closed
Open
Ball in Metric Space
Open Subset
of Complex Plane
Definition of
Open Ball
Open
Vs. Closed Set
Connected
Subset
Path
Connected
Closed Set in
Metric Space
Open
Sets Illustration
4800×2512
subset.so
Subset
3509×1005
openuk.uk
State of Open Subset - OpenUK
2448×949
chegg.com
Solved Let A be an open subset of a metric space S and B be | Chegg.com
2046×625
chegg.com
Solved Let S subset Y subset X. Prove that S is an open | Chegg.com
1400×788
startupheroes.io
Subset | Curate the web to share your expertise with self-guided learners
2284×494
chegg.com
Solved 3. Let U be an open subset of R” and V an open subset | Chegg.com
777×755
researchgate.net
(1) Cylindrical open subset (2) Star-like ope…
1176×949
Stack Exchange
general topology - Open or Closed subset in $\mathbb{C…
1920×406
chegg.com
Solved THEOREM 2.2.23 Let Y be a subset of a metric space | Chegg.com
700×175
chegg.com
Solved Problem 3 Let A⊂Rn be an open subset. Define | Chegg.com
2160×339
chegg.com
Solved by an EXPERT Let x=Q and Y=R. Give an example of an open subset | Cheg…
1500×1600
shutterstock.com
4 Subset Projects Royalty-Free Ima…
1890×328
chegg.com
Solved We say that a set B⊂A is an open subset of A, when | Chegg.com
1920×478
chegg.com
Solved (Exercise 2.2.24) Let x be a subset of Rn. Prove | Chegg.com
1671×449
chegg.com
Solved Suppose F is a closed subset and O an open subset | Chegg.com
767×140
chegg.com
Solved Let Ω be an open subset of C and let T⊂Ω be a | Chegg.com
5929×3114
math.stackexchange.com
general topology - An open and connected subset $U\subseteq \mathbb C$ is still connected if you ...
786×359
chegg.com
Solved (a) Let U⊂Rn be an open subset and k≥1. Prove by | Chegg.com
1200×600
github.com
Subset/main.cpp at master · shroukNtaha/Subset · GitHub
1905×368
chegg.com
Solved Problem 2 Let A be a an open subset of R and B be a | Chegg.com
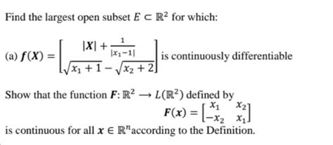
628×275
chegg.com
Solved Find the largest open subset E⊂R2 for which: (a) | Chegg.com
474×261
numerade.com
⏩SOLVED:(a) determine whether the given subset of ℝ^2 is open,… | Nu…
247×247
researchgate.net
The truncated open subset Gε…
1080×1749
Stack Exchange
manifolds - How to show $V$ i…
700×321
chegg.com
Solved 1. Prove that if an open subset S of the reals is a | Chegg.com
480×764
math.stackexchange.com
metric spaces - Show that $U \…
338×366
researchgate.net
1. An open subset Ω and elements of H …
640×640
researchgate.net
Illustration of gridding defined over an ope…
880×135
chegg.com
Solved Show that an open subset A of C≃R2 is connected if | Chegg.com
925×610
chegg.com
Solved (a) If S is a subset of C and a,b∈C, we define | Chegg.com
991×588
chegg.com
Solved Let O be the open subset of R2 given by O={(x,y)∣y>0} | Chegg.com
549×651
chegg.com
Solved Let F be a vector field defin…
4032×840
chegg.com
Solved 4. Let G be an open subset of R1. Prove that G is | Chegg.com
551×228
chegg.com
Solved 5. For each n∈N, suppose Un is a dense open subset of | Chegg.com
4080×617
chegg.com
Solved B. Let G be an open subset of C,b∈C, and f:G C. Write | Chegg.com
某些结果已被隐藏,因为你可能无法访问这些结果。
显示无法访问的结果
报告不当内容
请选择下列任一选项。
无关
低俗内容
成人
儿童性侵犯
反馈